文/羊城晚报全媒体记者 李丽
7月24日,王宝强在微博晒出女儿观看其自导自演电影《八角笼中》的观后感。女儿王子珊字迹稚嫩,但字字显示出对爸爸的爱与崇拜。


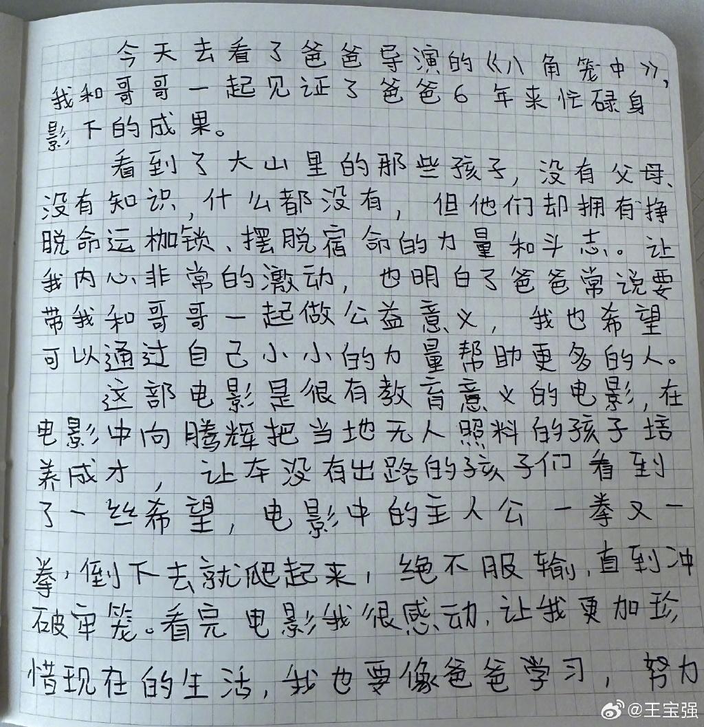
王子珊写道:“今天去看了爸爸导演的《八角笼中》,我和哥哥一起见证了爸爸6年来忙碌身影下的成果。”“我内心非常激动,也明白了爸爸常说要带我和哥哥一起做公益(的)意义,我也希望可以通过自己小小的力量帮助更多的人。”“电影中的主人公一拳又一拳,倒下去就爬起来,绝不服输,直到冲破牢笼。看完电影我很感动,让我更加珍惜现在的生活,我也要像(向)爸爸学习,努力成为和爸爸一样的人。”
在观后感的最后,王子珊还写道:“感谢爸爸,我爱你!爱你的宝贝女儿:王子珊。”
王宝强在微博晒出女儿小作文,感动回应:“我的宝贝女儿通过电影看懂了爸爸的心!你的认可是作为父亲拍这部电影最大的意义和收获。爸爸会一直站在你身后,陪你一起努力成长,永远永远爱你!”
2016年8月,王宝强起诉离婚。2018年2月11日,王宝强诉马蓉离婚案,判决解除双方婚姻关系,婚生子由王宝强抚养,婚生女由马蓉抚养。
特别声明:本文为城市头条城市号作者或机构上传并发布,仅代表该作者或机构观点,不代表城市头条的观点或立场,城市头条仅提供信息发布平台。
版权声明:版权归著作权人,转载仅限于传递更多信息,如来源标注错误侵害了您的权利,请来邮件通知删除,一起成长谢谢
欢迎加入:城市号,开启无限创作!一个敢纰漏真实事件,说真话的创作分享平台,一个原则:只要真实,不怕事大,有线索就报料吧!申请城市号请用电脑访问https://mp.chengshitoutiao.com。